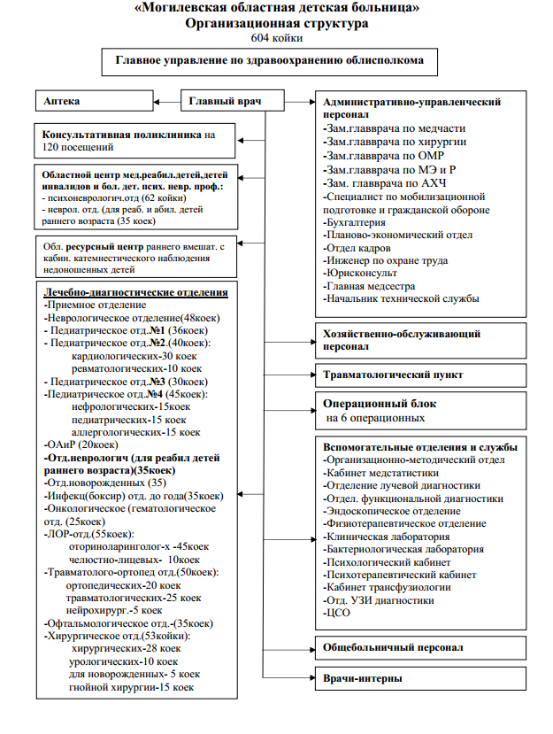
Уважаемые посетители! В УЗ «Могилевская областная детская больница» в соответствии с Указом Президента Республики Беларусь от 26.04.2010г. №200 «Об утверждении перечня административных процедур, осуществляемых государственными органами и иными организациями по заявлениям граждан» организована выдача справок или других документов на основе заявительного принципа. Наименование административной процедуры Государственный орган (иная организация) в который гражданин должен обратиться Документы и (или) сведения, предоставляемые гражданином для осуществления административной процедуры Размер платы взимаемой при осуще-ствлении административной процедуры Максимальный срок осуществления административной процедуры Срок действия справки, другого документа (решения), выдаваемых (принимаемого) при осуществле-нии администра-тивной процедуры 7.4 Выдача врачебного свидетельства о смерти (мертворождении) Администрация Зам. главного врача по медицинской части учреждения Шарко Марина Романовна, тел.41-78-00 паспорт или иной документ, удосто-веряющий личность умершего; паспорт или иной документ, удостоверяющий личность обратившегося бесплатно В день обращения бессрочно 7.5 Выдача листка нетрудоспособности (справки о временной нетрудоспособности) Педиатрическое отделение №1 – Бородовская Ольга Михайловна, тел.41-84-87 Педиатрическое отделение №2 – Каско Елена Анатольевна, тел. 41-85-56 Педиатрическое отделение №3 – Сарнацкая Инна Владимировна, тел. 41-61-97 Педиатрическое отделение №4 – Витко Наталья Константиновна, тел. 41-81-57 Неврологическое отделение – Каськова Татьяна Сергеевна, тел. 41-84-83 Онкологическое (гематологическое) отд. – Красницкая Татьяна Анатольевна, тел. 41-88-07 Отделение медицинской реабилитации – Зиновкина Наталья Сергеевна, тел. 41-64-11 Инфекционное (боксированное) отделение – Колбас Татьяна Александровна, тел. 41-82-85 Отделение для новорожденных – Петрова Ольга Викторовна, тел. 41-80-74 Отделение ортопедии и травматологии – Малашко Антон Валерьевич, тел. 73-52-01 Хирургическое отделение – Кухтарёв Альберт Анатольевич, тел. 73-52-11 Офтальмологическое отделение – Бурак Вячеслав Игнатьевич, тел. 73-52-14 Оториноларингологическое отделение – Горбунова Ольга Витальевна, тел. 73-52-17 паспорт или иной документ, удостоверяющий личность бесплатно в день установления временной нетрудоспособности бессрочно 7.6 Выдача медицинской справки о состоянии здоровья Консультативная поликлиника – Орлов Д.А., тел. 41-75-05, 41-88-18 Педиатрическое отделение №1 – Бородовская Ольга Михайловна, тел.41-84-87 Педиатрическое отделение №2 – Каско Елена Анатольевна, тел. 41-85-56 Педиатрическое отделение №3 – Сарнацкая Инна Владимировна, тел. 41-61-97 Педиатрическое отделение №4 – Витко Наталья Константиновна, тел. 41-81-57 Неврологическое отделение – Каськова Татьяна Сергеевна, тел. 41-84-83 Онкологическое (гематологическое) отд. – Красницкая Татьяна Анатольевна, тел. 41-88-07 Отделение медицинской реабилитации – Зиновкина Наталья Сергеевна, тел. 41-64-11 Инфекционное (боксированное) отделение – Колбас Татьяна Александровна, тел. 41-82-85 Отделение для новорожденных – Петрова Ольга Викторовна, тел. 41-80-74 Отделение ортопедии и травматологии – Малашко Антон Валерьевич, тел. 73-52-01 Хирургическое отделение – Кухтарёв Альберт Анатольевич, тел. 73-52-11 Офтальмологическое отделение – Бурак Вячеслав Игнатьевич, тел. 73-52-14 Оториноларингологическое отделение – Горбунова Ольга Витальевна, тел. 73-52-17 паспорт или иной документ, удостоверяющий личность; бесплатно 1 день после проведения медицинского осмотра медицинского освидетельствования до 1 года, а для мед. справки о состонии здоровья, подтвер-ждающей годность к управлению меха-ническими транс-портными средст-вами, самоходными машинами, мало-мерными судами, - до 5 лет 7.9 Выдача выписки из медицинских документов Педиатрическое отделение №1 – Бородовская Ольга Михайловна, тел. 41-84-87 Педиатрическое отделение №2 – Каско Елена Анатольевна, тел. 41-85-56 Педиатрическое отделение №3 – Сарнацкая Инна Владимировна, тел. 41-61-97 Педиатрическое отделение №4 – Витко Наталья Константиновна, тел. 41-81-57 Неврологическое отделение – Каськова Татьяна Сергеевна, тел. 41-84-83 Онкологическое (гематологическое) отд. – Красницкая Татьяна Анатольевна, тел. 41-88-07 Отделение медицинской реабилитации – Зиновкина Наталья Сергеевна, тел. 41-64-11 Инфекционное (боксированное) отделение – Колбас Татьяна Александровна, тел. 41-82-85 Отделение для новорожденных – Петрова Ольга Викторовна, тел. 41-80-74 Отделение ортопедии и травматологии – Малашко Антон Валерьевич, тел. 73-52-01 Хирургическое отделение – Кухтарёв Альберт Анатольевич, тел. 73-52-11 Офтальмологическое отделение – Бурак Вячеслав Игнатьевич, тел. 73-52-14 Оториноларингологическое отделение – Горбунова Ольга Витальевна, тел. 73-52-17 Кабинет медстатистики -Карабань Наталья Макаровна тел. 72 24 57 паспорт или иной документ, удостоверяющий личность бесплатно 5 дней со дня обращения бессрочно Административные процедуры, не включенные в Указ Президента Республики Беларусь от 26.04.2010г. № 200 в учреждении не выполняются. Справки неустановленного образца в учреждении не выдаются. Документы выдаются в кабинете медицинской статистики, расположенном на 1 этаже 1-го лечебного корпуса. Листки нетрудоспособности выдаются лечащим врачом или старшей медицинской сестрой непосредственно в отделении. Права и обязанности гражданина при осуществлении административных процедур регламентируются статьями 10,11,11¹ Закона Республики Беларусь от 28.10.2008 №433 «Об основах административных процедур». Порядок обжалования административных решений регламентируется статьями 30, 31, 32 Закона Республики Беларусь от 28.10.2008 №433 «Об основах административных процедур». Права и обязанности гражданина при осуществлении административных процедур регламентируются статьями 10,11,11¹ Закона Республики Беларусь от 28.10.2008 №433 «Об основах административных процедур». Порядок обжалования административных решений регламентируется статьями 30, 31, 32 Закона Республики Беларусь от 28.10.2008 №433 «Об основах административных процедур». Уважаемые посетители! В учреждении здравоохранения «Могилевская областная детская больница» организована выдача справок и других документов на основе заявительного принципа в соответствии с Указом Президента Республики Беларусь от 26 апреля 2010 г. № 200 «Об административных процедурах, осуществляемых государственными органами и иными организациями по заявлениям граждан» (с изменениями и дополнениями). Выполнение административных процедур, выдача справок или других документов осуществляется на основании утвержденного Указом перечня административных процедур, осуществляемых государственными органами по заявлениям граждан (Глава № 7. Здравоохранение). Выдача указанных медицинских документов первично проводится непосредственно лечащими врачами пациента в соответствующих структурных подразделениях учреждения. Для получения дубликатов и копий справок и других документов, предусмотренных перечнем, следует обращаться в кабинет медицинской статистики, расположенный на 1-м этаже административного корпуса (время работы 08.00-13.00, 13.20-16.02, выходные – суббота и воскресенье). Выдача копий выписок из медицинских документов проводится архивной службой кабинета медицинской статистики (цокольный этаж 3-го хирургического корпуса с 8.00 до 16.00 ежедневно, кроме субботы и воскресенья). Ответственное лицо за организацию в учреждении работы с обращениями граждан по заявительному принципу - Карабань Наталья Макаровна, заведующая кабинетом медицинской статистики, тел. 72 24 57. Ответственное лицо за выдачу документов - Батюшкова Инна Петровна, медицинский регистратор кабинета мед статистики (архивная служба), тел.62-20-46. Дублер ответственного лица – Новикова Марина Владимировна, медицинский регистратор кабинета мед статистики, тел.62-20-46. Запрошенные медицинские документы и справки выдаются в день обращения бесплатно, при необходимости использования для выполнения административной процедуры архивных документов - не позднее 5 дней со дня обращения. При обращении за выдачей указанных документов необходимо предоставить паспорт или иной документ, удостоверяющий личность заявителя. Должностные лица, ответственные за осуществление административных процедур в структурных подразделениях: Консультативная поликлиника – Орлов Д.А., тел.41-75-05, 41-88-18 Педиатрическое отделение №1 – Бородовская Ольга Михайловна, тел.41-84-87 Педиатрическое отделение №2 – Каско Елена Анатольевна, тел. 41-85-56 Педиатрическое отделение №3 – Сарнацкая Инна Владимировна, тел. 41-61-97 Педиатрическое отделение №4 – Витко Наталья Константиновна, тел. 41-81-57 Неврологическое отделение – Каськова Татьяна Сергеевна, тел. 41-84-83 Онкологическое (гематологическое) отд. – Красницкая Татьяна Анатольевна, тел. 41-88-07 Отделение медицинской реабилитации – Зиновкина Наталья Сергеевна, тел. 41-64-11 Инфекционное (боксированное) отделение – Колбас Татьяна Александровна, тел. 41-82-85 Отделение для новорожденных – Петрова Ольга Викторовна, тел. 41-80-74 Отделение ортопедии и травматологии – Малашко Антон Валерьевич, тел. 73-52-01 Хирургическое отделение – Кухтарёв Альберт Анатольевич, тел. 73-52-11 Офтальмологическое отделение – Бурак Вячеслав Игнатьевич, тел. 73-52-14 Оториноларингологическое отделение – Горбунова Ольга Витальевна, тел. 73-52-17 Уважаемые сотрудники больницы! В УЗ «Могилевская областная детская больница» в соответствии с Указом Президента Республики Беларусь от 26.04.2010г. №200 «Об утверждении перечня административных процедур, осуществляемых государственными органами и иными организациями по заявлениям граждан» организовано осуществление следующих административных процедур, оформление и выдача документов: Все указанные административные процедуры осуществляются бесплатно. Ответственные за выдачу указанных документов: Отдел кадров (1-ый этаж административного корпуса): Глухарёва Анна Игоревна. Бухгалтерия (1-ый этаж административного корпуса): Гончарова Любовь Петровна (для сотрудников онкологического (гематологического) отделения, педиатрического отделения №1, консультативной поликлиники, неврологического отделения (для реабилитации и абилитации детей раннего возраста), ФТО, травматолого-ортопедического отделения, травмпункта, врачей-интернов, диктофонного центра, кадрово-экономической службы, бухгалтерии, АХЧ (сторожа, ИТР, слесаря, обсл.складские помещения) Клепча Вероника Олеговна (для сотрудников педиатрического отделения №2, педиатрического отделения №3, неврологического отделения, ИБПО, ОАиР, клинической лаборатории, отделения лучевой диагностики, бак.лаборатории, офтальмологии, психотерапевтического кабинета) Лаппо Наталья Евгеньевна (для сотрудников приемного отделения, педиатрического отделения №4, ЛОР, отделения новорожденных и недоношенных, ЦСО, аптеки, отделения функциональной диагностики, эндоскопического отделения, психоневрологическое отделение, общебольничного персонала, хирургического отделения и оперблока) График осуществления административных процедур: БУХГАЛТЕРИЯ (тел.41-88-60): Вторник 8.00-13.00, 13.20-16.00. Четверг 8.00-13.00, 13.20-16.00. Ежемесячно с 01 по 08 и с 25 по 31 число оформление и выдача справок не проводится. ОТДЕЛ КАДРОВ (тел.62-20-45): Ежедневно, кроме субботы и воскресенья 8.00-13.00, 13.20-16.00. Справки неустановленного образца в учреждении не выдаются. Права и обязанности гражданина при осуществлении административных процедур регламентируются статьями 10,11,11¹ Закона Республики Беларусь от 28.10.2008 №433 «Об основах административных процедур». Порядок обжалования административных решений регламентируется статьями 30, 31, 32 Закона Республики Беларусь от 28.10.2008 №433 «Об основах административных процедур». Наименование документа, административных процедур Подразделе-ние, в которое необходимо обратиться Документы, или сведения, предос-тавляемые гражданином при обращении Максимальный срок рассмот-рения обраще-ния и выдачи документа Срок действия выдаваем. справок, документов 2.1 Выдача выписки (копии из трудовой книжки) Отдел кадров (1-ый этаж административного корпуса) тел.62-20-45 5 дней со дня обращения Бессрочно 2.2 Выдача справки о месте работы, службы и занимаемой должности. Отдел кадров тел.62-20-45 5 дней со дня обращения Бессрочно 2.3 Выдача справки о периоде работы, службы Отдел кадров тел.62-20-45 5 дней со дня обращения Бессрочно 2.4 Выдача справки о размере заработной платы Бухгалтерия (1-ый этаж административного корпуса) тел.41-88-60 5 дней со дня обращения Бессрочно 2.18 Выдача справки о размере назначенного пособия на детей и периоде его выплаты Бухгалтерия тел.41-88-60 Паспорт или иной документ, удостоверяющий личность 5 дней со дня обращения Бессрочно 2.19 Выдача справки о выходе на работу, службу до истечения отпуска по уходу за ребенком в возрасте до 3 лет и прекращения выплаты пособия Бухгалтерия тел.41-88-60 5 дней со дня обращения Бессрочно 2.20 Выдача справки об удержании алиментов и их размере Бухгалтерия тел.41-88-60 Паспорт или иной документ, удостоверяющий личность 5 дней со дня обращения Бессрочно 2.25 Выдача справки о нахождении в отпуске по уходу за ребенком до достижения им возраста 3-х лет Отдел кадров тел.62-20-45 5 дней со дня обращения Бессрочно 2.29 Выдача справки о периоде, за который выплачено пособие по беременности и родам Бухгалтерия тел.41-88-60 Паспорт или иной документ, удостоверяющий личность 3 дня со дня обращения Бессрочно Нормативные правовые акты, регламентирующие осуществление административных процедур: Перечень административных процедур, осуществляемых государственными органами и иными организациями по заявлениям граждан в соответствии с Указом Президента Республики Беларусь от 26.04.2010 № 200 Указ Президента Республики Беларусь от 26 апреля 2010 г. N 200 "Об административных процедурах, осуществляемых государственными органами и иными организациями по заявлениям граждан " Закон Республики Беларусь от 28.10.2008 N 433-З (ред. от 11.06.2025) "Об основах административных процедур" Директива Президента Республики Беларусь от 27 декабря 2006 г. N 2 "О дебюрократизации государственного аппарата и повышении качества обеспечения жизнедеятельности населения" Закон Республики Беларусь от 28 октября 2008 г. № 433-З «Об основах административных процедур» Административные процедуры, не включенные в Указ Президента Республики Беларусь от 26.04.2010г. № 200 в учреждении не выполняются. Справки неустановленного образца в учреждении не выдаются. Документы выдаются в кабинете медицинской статистики, расположенном на 1 этаже 1-го лечебного корпуса. Листки нетрудоспособности выдаются лечащим врачом или старшей медицинской сестрой непосредственно в отделении.